현재 진행중인 구몬의 이벤트를 확인하세요.

[아이 공부, 진짜가 나타났다! 진짜 공부엔 스마트구몬N]
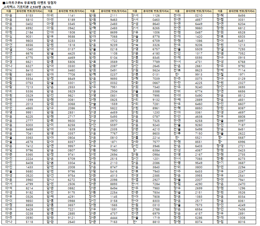
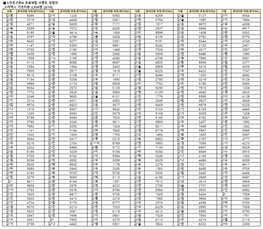
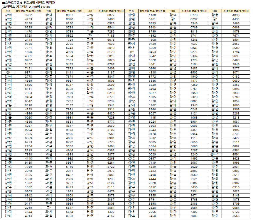
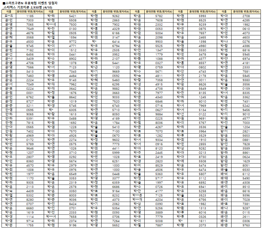
8-9월 스마트구몬N 무료체험 이벤트에 참여해주신
모든 분들께 감사 드리며, 이벤트 당첨자를 발표합니다.
당첨 선물은 무료체험 신청시 입력하신 휴대전화 번호와 주소로 10월 중 발송됩니다.
당첨 선물 발송 후, 유효기간이 지난 기프티콘에 대해서는 기간 연장이 불가능하오니
꼭 기간 내에 사용해 주세요.
※5만원 초과 경품(스위트호텔 숙박권)에 대해서는 제세공과금(22%)이 발생됩니다.
제세공과금 처리(구몬학습 부담)를 위한 서류를 요청드리며, 미제출시 당첨이 취소될 수 있습니다.
당첨되신 모든 분들 축하 드립니다 : )